Etiam pulvinar consectetur dolor sed malesuada. Ut convallis
euismod dolor nec pretium. Nunc ut tristique massa.
Nam sodales mi vitae dolor ullamcorper et vulputate enim accumsan.
Morbi orci magna, tincidunt vitae molestie nec, molestie at mi. Nulla nulla lorem,
suscipit in posuere in, interdum non magna.
Attached is the agenda for the November 18th Ely City Council meeting which starts at 5:30 pm in City Hall. Check the city website again for last minute updates even though they might not be posted until after the meeting. The additions are usually placed on the table inside Council Chambers.
If something on the agenda or attachments bother you, you cannot expect your request to appear be honored before Council votes on that agenda item, because you should have submitted your request the day BEFORE the agenda and attachments were posted, according to Mayor Omerza. Speak after the fact = no power = waste your breath.
Tidbits in the Council Packet – List of Checks
The list of checks to be approved is only one page for this Council meeting, so it’s easier to look through items. See attached page 33 of 43-page Council Packet. Has Council ever questioned (= asked about) any of the checks listed? They just approve.
Page 33 of Council Packet
8th item from bottom, check # 106974: Notice on the list that all of the items except this one have descriptions. Why is the Prospector ATV Club getting $34,309.03 ? Please list the purpose for public record.
The Ely Senior Center’s new website is www.elycommunitycenter.com. Ely no longer has a Senior Center (even though over 50% of population are seniors). What is the grant for? Will anyone ask Tuesday night? Why was the Senior Center renamed Ely Community Center? Was this a clever way to allow future hotel guest and employees 24-hour access to the parking lot? The parking lot can no longer be considered the seniors’ parking lot. It’s a community parking lot now, so welcome hotel guests and employees. Check the video of January 17, 2024 Planning & Zoning Commission meeting when the appointed Commissioners didn’t seem to care about the seniors: https://elyminnesota.com/blog/planning-zoning-mtg-jan-17-2024/.
Note: The public cannot use the Ely library parking lot after hours. So hotel guests and employees cannot use the library parking lot overnight or on weekends.
Check this out: Wikipedia’s posted information about the old 1938 Art Deco Ely Community Center doesn’t include info about the building being sold for $2 in July 2022 when it was to be turned into a luxury hotel with a cigar room.
Remodeling was extremely slow most likely due to financing problems. Did the owner/developer have to prove they really had financial backing? On October 1, 2024 there was a sudden last minute addition to the City Council agenda, changing the name on development agreement, completion dates, and other details. Check the video of that meeting: https://elyminnesota.com/blog/city-council-oct-1-2024/. Now it’s to been called an “International Hotel”?
St Louis County Property Details Report 030-0010-0260 Luxury Hotel previous Ely Community Center/Library
St Louis County Property Details Report 030-0010-02580 Senior Center
Why is the wording “Senior Center” or “Community Center” important?
If funding goes to the “Ely Senior Center,” the assumption – repeat assumption – is that the money goes to seniors. The building itself is now identified to passerby and public as the Ely Community Center. According to St. Louis County records, the owner of the building is the Ely Area Senior Citizens Inc. So who or what is the “Ely Senior Center”? Is the $7,500 grant going to just seniors, items or services just to seniors? Or is the $7,500 grant for items and services for the community that happens to include seniors? Is this a PR (public relations) spin by City Hall?
If half of our population consists of seniors – who are not mentioned in the City Vision – then how much City funding and support actually reach seniors? By the way, compare the $7,500 grant to the $34,309 going to the Prospector ATV Club. Comparing apples to oranges, yes, but what real percentage of the $7,500 grant is going to seniors?
Page 50 of 2016 Ely Comprehensive Plan
Has anyone heard of proposed or planned construction for senior housing? What are the posted 2022-2025 City goals and steps to obtain more senior housing? And/or other projects and services for 50% of our population?
Tidbits in the Council Packet – Historic Inventory of Buildings
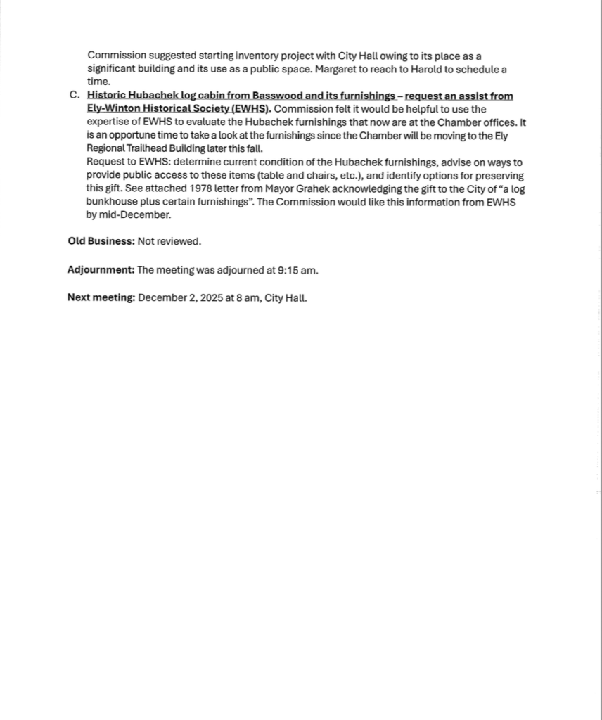
Read draft minutes of Heritage Preservation Commission (HPC) Nov. 4th meeting. If you know of more significant sites for the HPC historic inventory, please contact HPC.
Should the “Former Community Center” include “and Library”? The building is not reopening as a community center in 2026, as far as I know. It’s going to be our very, very much needed luxury hotel (sarcastically speaking). Somewhere in the City of Ely’s previous (or future) Vision and Comprehensive Plan there was mention about the Ely community needing a luxury hotel with cigar room? Will it have a fancy ballroom too?
Tidbits in Council Packet – Appreciate active community members
As always, if you have time, check the approved and unapproved minutes of the various commissions, boards and committees to get more details about our active community members who volunteer to not only show up for meetings but also volunteer their time doing additional tasks. When they are appointed by Council to serve, nobody asks them about or requires them to do more than attend the 1-2 hour monthly meetings. Nobody keeps track of their hours, activities or passion about their commitment . . . but their names often show up in those minutes. Glance through those minutes when you can. Thank them if you see them. And consider applying for open seats (Tree Board, Planning & Zoning, and Heritage Preservation).
Checks please – City Council mtg Nov 18 2025
Attached is the agenda for the November 18th Ely City Council meeting which starts at 5:30 pm in City Hall. Check the city website again for last minute updates even though they might not be posted until after the meeting. The additions are usually placed on the table inside Council Chambers.
If something on the agenda or attachments bother you, you cannot expect your request to appear be honored before Council votes on that agenda item, because you should have submitted your request the day BEFORE the agenda and attachments were posted, according to Mayor Omerza. Speak after the fact = no power = waste your breath.
Tidbits in the Council Packet – List of Checks
The list of checks to be approved is only one page for this Council meeting, so it’s easier to look through items. See attached page 33 of 43-page Council Packet. Has Council ever questioned (= asked about) any of the checks listed? They just approve.
8th item from bottom, check # 106974: Notice on the list that all of the items except this one have descriptions. Why is the Prospector ATV Club getting $34,309.03 ? Please list the purpose for public record.
11th item down, check # 106957: Is the $7,500 grant for the Ely Senior Center or for the Ely Community Center?? What’s the grant for?
The Ely Senior Center’s new website is www.elycommunitycenter.com. Ely no longer has a Senior Center (even though over 50% of population are seniors). What is the grant for? Will anyone ask Tuesday night? Why was the Senior Center renamed Ely Community Center? Was this a clever way to allow future hotel guest and employees 24-hour access to the parking lot? The parking lot can no longer be considered the seniors’ parking lot. It’s a community parking lot now, so welcome hotel guests and employees. Check the video of January 17, 2024 Planning & Zoning Commission meeting when the appointed Commissioners didn’t seem to care about the seniors: https://elyminnesota.com/blog/planning-zoning-mtg-jan-17-2024/.
Note: The public cannot use the Ely library parking lot after hours. So hotel guests and employees cannot use the library parking lot overnight or on weekends.
Check this out: Wikipedia’s posted information about the old 1938 Art Deco Ely Community Center doesn’t include info about the building being sold for $2 in July 2022 when it was to be turned into a luxury hotel with a cigar room.
Remodeling was extremely slow most likely due to financing problems. Did the owner/developer have to prove they really had financial backing? On October 1, 2024 there was a sudden last minute addition to the City Council agenda, changing the name on development agreement, completion dates, and other details. Check the video of that meeting: https://elyminnesota.com/blog/city-council-oct-1-2024/. Now it’s to been called an “International Hotel”?
Why is the wording “Senior Center” or “Community Center” important?
If funding goes to the “Ely Senior Center,” the assumption – repeat assumption – is that the money goes to seniors. The building itself is now identified to passerby and public as the Ely Community Center. According to St. Louis County records, the owner of the building is the Ely Area Senior Citizens Inc. So who or what is the “Ely Senior Center”? Is the $7,500 grant going to just seniors, items or services just to seniors? Or is the $7,500 grant for items and services for the community that happens to include seniors? Is this a PR (public relations) spin by City Hall?
If half of our population consists of seniors – who are not mentioned in the City Vision – then how much City funding and support actually reach seniors? By the way, compare the $7,500 grant to the $34,309 going to the Prospector ATV Club. Comparing apples to oranges, yes, but what real percentage of the $7,500 grant is going to seniors?
Has anyone heard of proposed or planned construction for senior housing? What are the posted 2022-2025 City goals and steps to obtain more senior housing? And/or other projects and services for 50% of our population?
For more info about Ely’s Vision and Comprehensive Plan, check https://elyminnesota.com/blog/reviewing-ely-city-visions-plans/ and also the proposed steering committee https://elyminnesota.com/blog/wrong-message-to-citizens-about-their-input-value/
Tidbits in the Council Packet – Historic Inventory of Buildings
Read draft minutes of Heritage Preservation Commission (HPC) Nov. 4th meeting. If you know of more significant sites for the HPC historic inventory, please contact HPC.
Should the “Former Community Center” include “and Library”? The building is not reopening as a community center in 2026, as far as I know. It’s going to be our very, very much needed luxury hotel (sarcastically speaking). Somewhere in the City of Ely’s previous (or future) Vision and Comprehensive Plan there was mention about the Ely community needing a luxury hotel with cigar room? Will it have a fancy ballroom too?
Tidbits in Council Packet – Appreciate active community members
As always, if you have time, check the approved and unapproved minutes of the various commissions, boards and committees to get more details about our active community members who volunteer to not only show up for meetings but also volunteer their time doing additional tasks. When they are appointed by Council to serve, nobody asks them about or requires them to do more than attend the 1-2 hour monthly meetings. Nobody keeps track of their hours, activities or passion about their commitment . . . but their names often show up in those minutes. Glance through those minutes when you can. Thank them if you see them. And consider applying for open seats (Tree Board, Planning & Zoning, and Heritage Preservation).