Etiam pulvinar consectetur dolor sed malesuada. Ut convallis
euismod dolor nec pretium. Nunc ut tristique massa.
Nam sodales mi vitae dolor ullamcorper et vulputate enim accumsan.
Morbi orci magna, tincidunt vitae molestie nec, molestie at mi. Nulla nulla lorem,
suscipit in posuere in, interdum non magna.
To see full agenda and Council 108-page packet posted on City website, go to https://www.ely.mn.us/council-meetings . If you want to comment on something before Council discusses or votes, it is too late. You can still request to appear during Open Forum at the end of the meeting. Check the Council Meetings website just before 5:30 pm on Tuesday for changes or additions. Not all last minute changes and additions are posted online in time for public or Council review. Check the table inside the Council Chambers for printed copies.
The public can email or call ALL of the Council Members and Mayor individually to voice their concerns and suggestions. Contact info is available via the City website https://www.ely.mn.us/council. Unfortunately, printing a one-page list of contact info from this Council + Mayor is not possible for many, most or all of us (?). Also, for some reason, the list is not alphabetical.
In this post, we will focus on 3 things: (1) Drafts of minutes and last week’s April 15th P&Z meeting, (2) Huge City Hall spending and funding requests for financially well connected businesses, and (3) the $$ impact on Ely after our School Board’s vote to go to a 4-day school week. Look for colors.
Glance through the entire 108-page Council packet posted online and then the last-minute changes and additions just before City Council meets at 5:30 pm in Tuesday, April 21st. The minutes and documents contain interesting tidbits. https://www.ely.mn.us/council-meetings
The Council packet posted a few days ago does NOT include draft/unapproved minutes of the last City Council meeting on April 7, 2026. This makes it hard for the public, Council, Mayor, City staff and speakers to review what happened 2 weeks ago should there be corrections. Not having the draft/unapproved minutes, means most of the public won’t know what actually happened on April 7th prior to the start of the April 21st Council meeting. The official Ely city newspaper, The Ely Echo, does not publish Council minutes until they are approved. Not everyone can afford or wants to pay Midco cable franchise fees to watch City Council meetings that are accessible 24/7/365.
Why aren’t the draft/unapproved minutes from the April 7th Council Meeting available in the packet? They are called “draft” or “unapproved” for good reasons. What is different this time?
Not all City commissions, boards, committees or authorities review and approve their minutes before submitting to Council and becoming public record. Not all type “draft” or “unapproved” at the top of their submissions. Check Tuesday’s packet and previous packets for minutes from the various committees. Supposedly, any revisions of minutes after approval are re-resubmitted with corrections. Has anyone ever seen that happen, seen the revisions posted?
There was an embarrassing (to some anyway) vote by Council on a recommendation from a commission that was not really recommended by that commission. If you view the recordings and documents posted on this website, it’s entertaining to see how nobody would directly admit any mistakes were done.
We all know it is too expensive for the City to pay for professionals to transcribe meetings or type up minutes from a recording. Volunteers are understandably welcome to be secretaries for the commissions they serve on. Typing detailed minutes is time consuming and difficult. Often the recorder doesn’t understand the other’s paradigm or philosophy or belief system, especially when they are not mutually shared. There are times, especially on controversial topics, that those writing minutes need to have a special sense of the English language to catch people’s use of nuances, subtleties and disclaimers. Another problem is Ely City Hall wants commission meeting minutes to be simple and short – few details – for a variety of reasons. There are problems with simple and short minutes. There’s a range between too much and too little. Commissions NEED TO review, discuss and correct as necessary their minutes BEFORE submitting to City Council and BEFORE becoming public documents.
Minutes filter info – Public needs 24/7/365 access to recordings
The public needs to understand and witness what happens in all City meetings. So does the Council, the Mayor, and City Hall. Here’s an example in Tuesday’s Council packet. Planning & Zoning submitted unapproved minutes from its April 15th meeting.
Compare what the speaker actually said with the minutes
Important points about what is done or not done in various committee meetings is missing. How can the City of Ely, Planning & Zoning, Park & Recreation, Land Use and Comprehensive Plan Steering Committee, etc. revisit, revise or improve if NOBODY says what’s wrong, what’s INTENTIONALLY excluded? Minutes should pass on useful comments, not filter them out. Some disclaimers and qualifiers are missing from the minutes. The speaker was given a generous 3 minutes. Not all last-minute speakers have hours to prepare crafted and typed out speeches to address ongoing systemic disregard of natural habitats and indigenous land acknowledgments as well as question some of the (missing) details in a shoreline excavation permit. Watch the unfiltered YouTube video and comments about P&Z posted on our website https://elyminnesota.com/blog/youtube-4-15-26-pz-private-beach-club-permit/ and compare with what was reported.
Left-side column above are “minutes” of speaker and P&Z discussion that can be compared with 16:08 – 22:11 time markers on the YouTube recording.
Among other things, notice the P&Z minutes do NOT include the words indigenous, Native American, or First Americans. P&Z and recorder apparently didn’t hear the speaker use these words, didn’t listen. They didn’t repeat any of those words in their discussion. If you can NOT hear, you can NOT claim you listened. Think about how Trump had “Climate Change” and other words deleted from government websites, etc.
The speaker gave more details about how natural spaces and indigenous history, culture and presence have been ignored by Ely. Not mentioned: Neither the Ely Chamber of Commerce nor The Tourism Bureau provide specific info or map about birding places in Ely. Listen to more specific comments about commissions and Comp Plan not recognizing nature, natural habitats for balanced development.
Right-side column above are “minutes” of P&Z discussion that can be compared with 45:45 – 1:26:00 time markers on the YouTube recording.
Both Local papers The Ely Echo www.elyecho.com/ and The Timberjay www.timberjay.com cover the ongoing financial problems of our ISD #696 Ely Public School District.
ISD #696 posts agendas and minutes online at https://meetings.boardbook.org/Public/Organization/1352. On Monday, April 13th, ISD #696 voted unanimously to move to a 4-school week starting this coming fall. You’ll notice as of April 20th, the minutes for their April 13th meeting have not been posted, just the agenda. Many people are upset about that decision.
The Library minutes (draft?) from their April 8th meeting gives an insight into how much the whole community needs to step up, examine options, and do something to help the kids, their parents, and parents. 500 students. Imagine the scramble. What will parents do? Send their kids to other private or charter schools? Home school?
Concerned and caring Library staff and the Ely Community Resource Center (ECR) want to step up. They do not have extra staffing, space or money. Same with other social service organizations and businesses.
There is no recommendation/motion posted on the current Council April 21st agenda for the City to help out with finances for staffing, space or educational materials. Chances are Council would vote no anyway. Somehow there has to be a way to indirectly support families and kids. Council won’t ask the ISD #696 to take back their vote and thus keep a 5-day school week? Why not?
There are restrictions to the mixing of City budgets and School District budgets. There are things they can do, things they can’t. Council needs to do some brainstorming Tuesday night. Residents, parents and teachers need to send GOOD DOABLE suggestions to all of City Council, not just to their favorites. Check out www.ely.mn.us/council for Ely City Council contact info. Call or send a mass email.
ISD #696 School Board Information
If you are looking for information about running for the next School Board elections, this is the weblink: https://www.ely.k12.mn.us/school-board-election-information. The webpage needs to be updated. Three current Board Members are up for re-election. See column of the left.
Council will vote to spend 1/3 million $$ on City Hall windows
Except for a few rich and/or well invested individuals, everyone is worried about the direction of our economy. Most people are re-examining their expenses and plans. Most people are reviewing what is essential and what is non-essential. What about City Hall and City Council?
On April 21st, hopefully the tax-paying public and those facing higher costs, higher fees, fewer benefits, and more expenses will hear and be satisfied with explanations for 1/3 million $$ proposed cost for windows in City Hall. How many? Why do they need to be replaced now? Do all of them in RFP need to be replaced now? Notice the memo from the Ely Clerk/Treasurer doesn’t give details about the urgency to replace x number of windows.
For such an expensive project, why would only 2 companies submit bids? Was the RFP (Request for Proposal) written and posted in such a way, so that only a few companies would submit bids? Notice the memo from the Ely Clerk/Treasurer doesn’t give details about due diligence, i.e., why only 2 and not more bids were received.
In the memo from the Ely Clerk/Treasurer, there is no background information which committees or when Council (recently?) recommended this expensive project. These windows apparently were not in bad shape back in 2014.
Memo and bid tabulation came from the April 21st Council packet https://www.ely.mn.us/council-meetings The AI Overview of US economy in 2014 was from a Goggle search on April 20, 2026.
City voting to lobby for funding business with $$ connections
As people throughout the region are discussing federal and state cut-backs and insufficient funding for essential services, including but not limited to public schools, they are questioning what expenditures are essential or nonessential. Funding for infrastructure will be reduced.
Why is the City of Ely lobbying for IRRB funds to be used for the Old Train Depot development project? Why is the City of Ely lobbying for businesses that have good credit and (in)direct access to financing? They are “spin-offs” or closely connected with rich real estate investors and/or developers, including those who own other developed and non-developed or neglected properties and buildings in Ely. Setting up LLC’s are safe protections for them. This website has questioned the Old Train Depot development while Chapman and Sheridan are neglected.
Why isn’t the City focused on helping established small businesses and apartment owners in the City who have leaking roofs and other construction issues? Some are located next to vacant, neglected and possibly unsafe structures. The street-facing fronts don’t look the same as the alley-facing backs.
Below is the Projects Committee webpage which is accessible via https://www.ely.mn.us/boards Projects recommended the City of Ely lobby for funding for the OldTrain Depot/Bearhead Development. The Committee shall make recommendations to the Council of all matters dealing with community projects…Wouldn’t a massive revitalization/renovation of established current SMALL businesses be a “community project”?
There are homes in town frequently flooded by runoff from other homes or streets or underground streams. Their homes were deemed safe to occupy when they bought them. Now they have to come up with their own money to pay for (resolving) problems that originate off their property. Wouldn’t these be essential “community projects”? Why aren’t these types of projects on the Projects agenda and list of priorities? Aren’t Project Committee members aware of these problems in the community?
Are only large projects promoted and sponsored by lobbists, rich real estate investors and developers the only ones that are considered community-based? Projects is to serve as a forum for others to express their views on subjects relating to community projects . . . When was the last time Projects pro-actively announced an open forum for all small business and apartment owners to help create a community-wide revitalization/renovation project?? It is easier for Projects to passively sit and have rich developers and real estate investors come to them for funding they could secure on their own. Who decided the Trailhead Building was something the Ely community REALLY needed? Or the luxury hotel? Or the cannabis dispensary?
The economy is not on an upswing. Regular people are suffering. The City of Ely should refocus its energies, tax-payer dollars, funding sources, and community projects to serve the essential needs of its real community.
This post is the recording of the actual Planning and Zoning meeting on April 15, 2026 discussing the KK & PI, LLC’s request to excavate their property to build a PRIVATE BEACH CLUB on 755 N Pioneer Road, Ely, MN. The property is on Sandy Point on Lake Shagawa. For background details, go to our website post https://elyminnesota.com/blog/shagawa-beach-club-planned-nothing-for-birds/
Disclaimer: The viewpoints and opinions in this post do not represent the opinions of the non-political Ely Field Naturalists (EFN) organization or its members. The viewpoints and opinions in this post do not represent or claim to represent any Indigenous Peoples or their organizations.
Scroll down to bottom of this post to view the actual 85 minute YouTube video.
The parking lot below parcel 030-0240-00010 (755 N Puioneer Rd) belongs to the DNR. This is where humans gather to enjoy viewing birds in the water, bushes and trees. Birders don’t come to see birds hanging around in the parking lot itself. Mostly because the birds are not attracted to the asphalt. As with many viewing sites, birds come and go depending upon time of day, seasons, weather, availability of food, human activity, nesting, etc. Climate change, pollution, and reduction of and changes to their natural habitats have negatively impacted their survival. If you check the whole shoreline of any lake or natural area, not every inch is attractive to birds or conducive to their survival. Humans need to understand, respect and view natural habitat areas and ecosystems from the bird’s perspective.
Synopisis above is from 4/14/26 memo from Scott Kochendorfer, Ely City Planning & Zoning Administrator to P&Z Committee.
To the left is directly from the work permit request submitted to City of Ely. Note “private beach club” was in their permit.
Tefft’s 10 favorite birding sites in an around Ely
During P&Z discussion of the permit (time markers 45:45 – 1:26:00), cutting of trees and other changes to the private parcel were described. See actual permit at https://elyminnesota.com/blog/shagawa-beach-club-planned-nothing-for-birds/ or in P&Z meeting package at https://www.ely.mn.us/government None of the P&Z Commissioners voiced concern about destroying or messing with actual natural birding areas, probably because this would be on private property? Sand erosion was mentioned. Good points. Sand erosion is more valuable than preserving habitat that attract birds? Humans need to view and appreciate natural areas from birds’ perspectives.
It appears none of the P&Z Commissioners expressed interest in Sandy Point being somehow designated as an important birding site worthy of protection.
There are ways P&Z could issue a permit that would preserve and protect habitat. However, the NOISY and RAMBUNCTIOUS nature of a private beach club do not seem compatible with any type of birding habitat, much less established birding viewing site.
There are loons on Lake Shagawa. There could be more . . .
Planning & Zoning tabled a vote on the excavation permit from LL & PI, LLC until their next meeting in May 2026. Perhaps — hopefully –they will figure out — with input from other commissions? — on how they can encourage recognition and preservation of Indigenous history and culture on Sandy Point and other areas where we live. Some concerned citizens are trying to find more information about Indigenous history and culture around Sandy Point. This is what they sent us so far:
Questions about permit details and disclosure of KK in KK & PI, LLC were also voiced by one citizen who requested to speak. KK = our Ely City Atty Kelly Klun. PI = Paul Ivancich, Kelly Klun’s late husband. Listen to why the permit was brought to P&Z, even though City Hall supposedly did not need P&Z approval. Scott Kochendorfer did not mention the permit being about rental property owned by the Ely City Attorney. A vague pronoun reference “they are requesting . . .” was constantly used instead of saying KK & PI, LLC or the full names of owners/partners.
To listen to citizen presentation, go to time markers 16:08-22:11 on the YouTube recording. Shoreline Excavation permit discussion by P&Z starts at 45:45 and ends at 1:26:00 time markers.
City: reach out more Public: be more present when you can
As you listen to the YouTube recording of tonight’s meeting, keep track on how many times the City Planning & Zoning Administrator Scott Kochendorfer and the Commissioners kept saying they wanted individuals to come to their meetings and speak directly to them. They didn’t want “hearsay.” They wanted “facts.”
These are very valid points. And anyone reading this who has opinions or questions (both of which are not necessarily “facts”), should go to meetings and speak for themselves when they can.
To be fair, however, City Hall, Commissioners, Council, and the Mayor should recognize:
1) The public tends to hear about agendas and action items by accident. The public does not schedule their lives, block out their calendars, just in case they might want to appear to speak at a City meeting. Sometimes, many times, we the public ask others to relay information.
(2) You were elected, appointed or hired to serve and/or represent us. Actively and constantly seek out what we might think about “simple and easy” things like the excavation permit on the agenda tonight. If you cannot seek physically reach out to others, practice thinking and questioning from others’ perspectives, especially those who have different about government’s role and how a few rich and powerful individuals control development in Ely.
(3) (Some of) you might have already excluded – sent us message you excluded – consideration of community’s concerns presented. Review the recording. What did you say or ignore? What’s obviously important to you (or not) and what you want Ely to become? What balanced development do you desire?
Most people moved to and live in Ely because of
Quiet
Nature
Safety
How does a PRIVATE BEACH CLUB align with those 3 things?
This is what was posted under description for the YouTube recording of tonight’s P&Z meeting
Regular scheduled P&Z meeting on April 15, 2026. The whole meeting is interesting, but was specifically recorded for public to hear discussion and P&Z action on permit for excavation, etc. on mixed use shoreline designated property. The owners wanted to build a PRIVATE BEACH CLUB on Sandy Point, Shagawa Lake. See https://elyminnesota.com/blog/shagawa-beach-club-planned-nothing-for-birds/ for background information and maps. See https://elyminnesota.com/blog/youtube-4-15-26-pz-private-beach-club-permit/ for more information about the meeting after it happened. This was expected to be a quick approval of the permit. Permit was property posted online within P&Z packet, but background details about adjacent area being a birding site and of potential historical significance were missing. The citizen who requested to speak asked for “Tefft’s 10 favorite birding sites in and around Ely” be included in the record. Both Sandy Point and Miner’s Lake are recognized birding sites. Note: the birds do not use the DNR parking lot. The birds use the natural areas next to the parking lot. The general public was/is not aware a PRIVATE BEACH CLUB will be built here.
The general public was/is not aware a PRIVATE BEACH CLUB will be built here. Questions about permit details and disclosure of KK in KK & PI, LLC (KK = City Atty Kelly Klun who owns many rental units in Ely) were also voiced by one citizen (time markers 16:08-22:11). Shoreline Excavation permit discussion starts at 45:45 and ends at 1:26:00 time markers. Listen to why the permit was brought to P&Z. City Hall did not need P&Z approval. A vague pronoun reference “they are requesting . . .” was used instead of KK & PI, LLC or full names of owners/partners. P&Z voted to table the permit until next meeting in May 2026.
See P&Z agenda and packet for other interesting discussions https://www.ely.mn.us/pzmeetings. For example, discussion about planned housing unit development.
Planning & Zoning Commission meeting on Wed, April 15, 2026 – 5:30 pm
Flash! In response to this post, we were told Sandy Point used to be a sacred indigenous annual gathering site. They said this area should be designated and protected as a natural site if not more. The Ely Park & Recreation Board, The Heritage Preservation Commission, P&Z Commission, and The Steering Committee for Land Use and Comprehensive Plan Review should set up and discuss how Ely can best set aside potential and actual birding and historical sites.
From Google search. The red dot is 755 North Pioneer Rd.
From St Louis County Parcel Tax Lookup website https://apps.stlouiscountymn.gov/parceltaxlookup/ Notice the parking area just below 755 N Pioneer Rd. This is a public birding site.
Who cares if this proposed beach club is right next to good area for bird watching? There are no protections for migrating birds in Ely. Who in their right mind would build or allow a beach club right next to an established bird watching area? Oh, that’s right. Sandy Point is not an “official” bird watching area. Despite locals knowing and gathering there to watch birds.
Ely does not have adequate recognition, signage or other protections for birds or birders. There’s nothing in the Land Use or Comprehensive Plan to respect or protect animal habitats. The Tourism Bureau doesn’t mention birding as something to do within Ely. There’s nothing in the 2026 Chamber of Commerce Business and Visitor Guide specifically mentioning Miners Lake or Shagawa Lake as bird viewing areas. Silence. Intentional silence to promote human development, especially interfering human development. Ely does not have signage or other protections for birds or birders. There’s nothing in the Land Use or Comprehensive Plan to respect or protect animal habitats.
The agenda and meeting packet for Planning and Zoning (PZ) Commission meetings are usually posted on the City website a few days before their meeting: https://www.ely.mn.us/pzmeetings. You can find the link on the City Government website: https://www.ely.mn.us/government.
There might be last minute changes or additions, so always check the table right inside Council Chambers or wherever PZ meeting is scheduled.
Under New Business, it appears KK & PI, LLC are applying for a permit to build a private beach club at 755 North Pioneer Road on Shagawa Lake. There is nothing nefarious about this, but it is interesting how lake shorelines are developed for human entertainment purposes and how so little time, money and energy are spent to maintain, preserve, protect or even expand natural habitat during times of climate change and human encroachment. Were are the backup plans, Plans C or D, for loss of animal and plant habitat?
Under New Business, it appears KK & PI, LLC are applying for a permit to build a private beach club at 755 North Pioneer Road on Shagawa Lake. There is nothing nefarious about this, but it is interesting how lake shorelines are developed for human entertainment purposes and how so little time, money and energy are spent to maintain, preserve, protect or even expand natural habitat during times of climate change and human encroachment. Were are the backup plans, Plans C or D, for loss of animal and plant habitat?
Remember Planning & Zoning has been making many revisions to its ordinances to allow more development along shorelines and green spaces. The changes were not solely directed at Miners Lake shoreline. For more info, search on our website (search box on top right or look through categories list along the left side).
For curious folks, who want to know who is KK & PI, LLC: check the right-hand column.
There are many residents and non-residents who are investing in activities and businesses that are intended to have more people and their $$ come to the Ely area. Our tourist and retail businesses need money to flow their way.
The big issue is: Where is the balance with Nature? How can there be a balance is Nature has no voice? And Climate Change is ignored? Where birders and environmentalists don’t exist?
Do not assume this is the last private or business enterprise that will be developed along the shorelines of Shagawa or Miners Lake!
The City of Ely, the Mayor, Council, Planning & Zoning Commission and the Steering Committee to update our Land Use and Comprehensive Plan want to build, build, build. Nothing will stop them. Birds are not real estate investors or developers. Money talks.
And while you are looking at the P&Z documents posted here, look over the rest of the packet AND other items posted on the City of Ely’s Government website: https://www.ely.mn.us/government
At the April 7th Ely Council meeting, the public will not be able to comment on the ordinances before Council votes. The public input happens at the Public Hearing at 5:15 pm just before Council meets.
City Hall and City Council don’t want or expect the Public to show up, so they allotted only 15 minutes for public input. Three Ordinances in 15 minutes.
The vague Public Notice posted on the City website gives the impression everything is fine and simple. To get details, you have to click several links.
If you click on the date and title of the Public Hearing, you expect more details, so you could do more research. Maybe a map. Maybe an explanation as to why the change is being made.
Sorry! Look at the right column to see what you see after you click.
Note: if you want to see the ordinances, the link will take you to the 1st reading.
No details, documentation or explanation.
More info about Ely’s Business Park – EEDA website
On any of our posts, do a search for “Miners Drive,” and many posts will appear, including YouTubes of City meetings.
Do a word search on Comprehensive Plan, (luxury) hotel, train depot, or ordinances. Our post about city visions and plans points out what is missing as we try to set goals and development for Ely: https://elyminnesota.com/blog/reviewing-ely-city-visions-plans/
What is Ordinance 397 about? What’s the real intent?
Good luck figuring out what’s intended here. There is no other documentation or explanation in the Council packet or attached to the ordinance itself when you click the link to the City website. You’re on your own. City Hall, the Mayor, and Council apparently hope you get frustrated and don’t proceed to the Public Hearing.
Note: Ordinance 397 switches zoning from public to commercial, allowing for private commercial development along Miners Drive.
If you read Ordinance 399, you’ll see many restrictions are deleted for development. The City believes in build, build, build. Quiet green areas for passive activities are not valued. Read some of the excerpts to see what the City’s real intent is.
What is Ordinance 398 about? What’s the real intent?
There is no other documentation or explanation in the Council packet or attached to the ordinance itself when you click the link to the City website.
Ely City Code did not have anything permitting businesses that rescue animals or board cats and dogs. Ordinance 398 indicates where they are permitted.
The ordinance explains what the letters O, X and I mean. But it doesn’t explain C-1, C-2, or M. Good look searching on your own through the Ely City Code! Who would use the words “Zoning District Schedule”? Remember Section 11.41. Page numbers are confusing.
Because Contented Critters and/or other organization wants to set up these services near our current Ely Vet Clinic, Miners Drive seems an idea location. They meet a need in our community.
Zoning Codes Explained
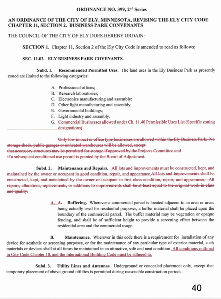
Read the fine print in Ordinance 399 – what’s deleted?
For example, notice Subd. 1 of Ordinance 399
The stipulation for Only low impact . . . businesses has been removed. Notice what else has been deleted. Read the whole proposed ordinance.
Subd. 79 of Ordinance 399 is really confusing, probably intentionally. First, the City seems to want park and recreational spaces. And then it doesn’t.
Read all of Ordinance 399 and then Ordinance 397 again. The City of Ely wants public space turned over to commercial development.
If you have strong feelings about Miners Drive., go to the Public Hearing AND contact all of the Council Members (not just your favorites ones, all of them) directly. Whatever your opinion.
If you moved to Ely, because you appreciated the quiet, safety and nature of/within Ely, then say something at the Public Hearing.
Isn’t it strange that the usually vocal environmentalists are not trying to preserve what’s left of the natural quality of Miners Drive? Somewhere there has to be a reason for their silence. While discussing the Land Use and Comprehensive Plan last year, one active community member said the City of Ely has enough natural spaces: We have the Boundary Waters, Whiteside Park and Lake Shagawa. We don’t have room to create, preserve or expand open or natural environmental areas. Who disagrees?
Tuesday, 5:30 pm — Public Hearing about Miner’s Drive starts at 5:15 pm
There are so many interesting action items in the 4-page Council agenda AND in the minutes from City government groups that met recently. We’re highlighting only a few items from the Comprehensive Plan Steering Committee, Budget meeting, Ely Economic Development Authority (EEDA), Airport Commission, and New Business. You’ll find more tidbits when you read the full (draft) minutes. There’s way too much to write about for just these three groups, so you’re on your own to discover surprises in the reports, plans and proposed expenditures from the Police Chief, Joint Powers Lodging Tax Board, and Comprehensive Plan Steering Committee. See Council packet for New Business items on the agenda as well as (draft) minutes of the last Council meeting on March 17th (3 weeks ago). Note: Not all those providing reports to Council share a written report in the packet.
Posted here below is the current 4-page agenda that was posted on the City website. You probably don’t have time to read the entire 76-page Ely Council packet for Tuesday’s meeting. The packet is posted online at https://www.ely.mn.us/council-meetings. Check again online just before the meeting for any additions or changes. Additions and changes are not always posted online before the meetings, so check for the Council binder or papers on the table right inside the Chamber doors.
Educate yourselves – read the documents and not just the agenda
Especially for this Council meeting, glance at the (draft) minutes and attachments submitted in time to be included in the Council packet. As pointed out previously, when documents, minutes and action items presented shortly before Council meetings, they are sometimes intentionally submitted last minute so they are NOT to be scrutinized carefully. Many wonder if the Mayor and Council actually study the Council packet before the Council meetings start, especially since they rarely comment or question anything other than an action item they have to vote on. Those few viewers watching from home or in the Council Chambers don’t always see or hear tidbits about expenditures such as
From March 31st Budget meeting (draft) minutes
If EEDA is paying for propane and utilities for the old Chamber building, then why not also for the new Chamber location in the Trailhead Building? Why are lodging tax dollars being diverted to pay for the Chamber’s utilities (and ??) in the Trailhead Building?
Public Hearing on Ordinances at 5:15 pm before Council meeting
Prior to the Council meeting, there is a Public Hearing scheduled for 3 Ordinance changes. The Public Hearing starts at 5:15 pm. Council is apparently expecting nobody to show up, because the hearing is scheduled for a total of 15 minutes. Please refer to our separate post about these Ordinances. They mainly pertain to development along Miners Drive. If you have any comments or concerns, you have to go to the Public Hearing or submit comments prior to that hearing. At the Council meeting, the City Attorney will present the 2nd Reading of these Ordinances. There is no opportunity for the public to present comments at the Council meeting before Council votes. Did you read details above and beyond the public notice in The Ely Echo? Why wasn’t there extensive news reporting about these Ordinances and planned development?
Comprehensive Plan Steering Committee – more info needed
The Council packet only has the (draft) minutes from the Steering Committee’s March 9th meetings. There are no minutes or notes from their subsequent meetings with vendors. Shouldn’t Council and the public have a chance to review those minutes or notes before voting. It is possible minutes and notes for these additional meetings will be posted/available just before Council meets on Tuesday.
Has a Request for Proposals (RFP) already been designed for Council to comment on? Or the public?
Will the Steering Committee let Council and the public know what their Steering Committee vision is for Ely? Is that vision reflective of the whole community? A balanced, healthy community?
Their vision seemed to be all about development (industry). Nature was missing. “Services” was vague. Infrastructure is not the same as mental, health and spiritual needs.
Last item: Babbitt Police Department Contract. Will Council ask for more details, so the public can hear details? Does “part time” mean Ely PD officers are working additional hours beyond their full-time positions in Ely PD? Will they be required to wear Babbitt PD uniforms when working for Babbitt?
The proposed hourly rate for maintenance increase is from $16 to $32. See first item under New Business – Airport Contract. Explanation for increase was attached. Should the wage be $32/hour for mowing grass? Should equipment maintenance only be $32/hour? What is “equipment maintenance”? Some equipment maintenance done by licensed professionals should probably be higher than $32/hour. Will Council question the doubling of hourly rate? Has Council publicly questioned salaries and hourly rates, other then going after the Tourist Bureau?
Are City staff/employees under or overpaid? What are comparable and equitable wages? Are office or white collar jobs (especially those held primarily by women) as “valuable” as blue collar or outdoor maintenance jobs (especially those held primarily by men)? Everyone deserves decent wages and benefits.
We all appreciate our Ely Library staff. They are skilled in customer service. They prepare for and provide additional educational programs for the community, more so than library staff in metropolitan areas. Their required knowledge and skills cannot be easily learned or replaced. Does the City fully reimburse them for trainings? Do they earn the equivalent OR MORE than $32/hour after all their years of service?
EEDA – Development for our booming economy
The Ely Economic Development Authority (EEDA) is supporting more development along Miners Drive (“Commercial Corridor”), including but not limited to the Old Train Depot. These plans are no doubt connected to the Ordinances that City Hall, Mayor and Council are expected to approve on Tuesday.
There are those who believe Ely should build: Build and they will come. They believe Ely – indeed our whole economy – is booming and will continue to boom, so they plan and spend $$ accordingly. Well, if Ely’s economy is booming, why are there so many vacant and neglected commercial properties on Chapman and Sheridan?? For years.
Notice THEY (meaning EEDA = City Hall + Mayor + Council) do NOT say, “Let’s first invest in Chapman Street.” Chapman Street is not even a second thought. Rather than promoting and investing in Chapman by repurposing or replacing current underused buildings on Chapman, THEY want to destroy the quiet, natural areas of Miners Drive. While discussing the Land Use and Comprehensive Plan last year, one active community member said the City of Ely has enough natural spaces. We have the Boundary Waters, Whiteside Park and Lake Shagawa. We don’t have room to create, preserve or expand open natural environmental areas.
It’s like kicking the can down the road: the City eventually needs to do something with Chapman Street. So why not now, first? Spending time, energy, lobbying efforts, and funding on Miners Drive (“Commercial Corridor”) most likely means afterwards there will be very limited lobbying efforts and funding for Chapman Street. Are THEY going to ask Chapman Street businesses to relocate? Figure out first what to do to revitalize historic Chapman Street. Support and fund Chapman projects first.
Isn’t it strange that the usually vocal environmentalists are not trying to preserve what’s left of the natural quality of Miners Drive? Somewhere there has to be a reason for their silence. While discussing the Land Use and Comprehensive Plan last year, one active community member said the City of Ely has enough natural spaces: We have the Boundary Waters, Whiteside Park and Lake Shagawa. We don’t have room to create, preserve or expand open or natural environmental areas. Who disagrees?
There’s a new LLC in town: Bearhead Development
Bearhead Development, LLC is mentioned throughout the EEDA minutes. According to MN Secretary of State website, it has been in business for less than a year. LLC status gives protection to its owners. Very loosely put, owners’ names are not publicly known and their personal assets are shielded. The City of Ely, Mayor and Council seem eager to give everything to Bearhead Development: Ordinance changes, lobbying support, development freedom, and even the kitchen sink without knowing who the owners are. Read the minutes. Notice the votes.
By the way, why haven’t our local newspapers covered Bearhead Development, LLC discussions with City Hall, Council and commissions? Our Google searches yielded no articles. Development this big and this expensive suddenly appears within the last month per minutes?? Is this the first time Bearhead Development is being introduced to Council and they are to approve recommendations to them? Remember, the public cannot publicly comment or ask questions during Request to Appear time before Council votes. Too late. Some of us first saw Bearhead Development mentioned in the April 7th Council packet.
Notice the last point. Is Bearhead Development owned by the Otts? Will Council ask for public clarity?
Developers and real estate investors make LOTS of profit with limited investment on their part. Trump isn’t the only one who knows the profit game and how to manipulate government and agencies to his advantage. Everything’s connected. Follow the money.
Remember the luxury hotel being built in the old Library and Community Center? The original investor/contractor/owner, Matt Stupek, didn’t have funding or investors to complete the luxury hotel. Who were the original investors? How much of his own money did he invest? Construction stopped. There were other problems not dealt with. Suddenly, on October 1, 2024, an hour or so before the Council met, a contract with a new LLC was presented to Council. No questions asked; Council approved. Pillar Company LLC was not listed on the Secretary of State’s website as of October 1st. The address for the company was the same as for Matthew Stupek. See our post with YouTube recording of that Council meeting https://elyminnesota.com/blog/city-council-oct-1-2024/
Here are EEDA minutes included in the April 7th Council packet.
ii
Under Communications, it appears John Fedo & Associates is a business handling the bidding for the workforce housing Wilderness Escape. The minutes are awkwardly written. It is not clear if the subsequent use of “We” refers to John Fedo & Associates or the City of Ely or ??
Under 2026 EEDA Priorities, “Sato space” is mentioned. According to Google AI, this is what was meant
Google search April 5, 2026
New Business items – pages 58-76 Council Packet
Gawboy Mural Trailhead Project: Council has been spending lots of time discussing what should be displayed or used at the Trailhead Building. Why weren’t these discussions held before the Trailhead opened? Who proposed these resolutions? Why weren’t these resolutions submitted via Park & Recreation Board? Who is Ely Area Senior Citizens, Inc.?
Ely Dog Park – Rummage Sale, May 16th. It is sad that The Ely Dog Park volunteers are forced to do so much fundraising instead of the City running the park.
At 1:30 pm on Tuesday, March 24, 2026, the City of Ely is zooming a Landform Comprehensive Review Plan Proposal meeting. This might be the first time any City meeting has been zoomed? This is indeed progress towards transparency, but was proper and/or adequate notice used to inform the public about an open meeting?
What is the zoomed meeting about?
There are no easily accessible details provided. Look at the screen snapshots below. This certainly limits informed public transparency and input. Does this official city meeting follow open meeting laws? Is this zoom meeting sponsored by Planning & Zoning or the newly formed Comprehensive Plan Steering Committee? How is the City of Ely expecting the public to get details? Some people don’t want to call City Hall – and shouldn’t have to in this age of technology – for details. City Hall isn’t accessible 24/7/365.
The City of Ely contracted with Midco to broadcast live only 3 meetings, not all public meetings. The Telecommunications Advisory Board could not – didn’t have the will – to select or negotiate a contract with Midco that would provide free 24/7/365 access to stream all City meetings. City Hall, the Mayor, and City Council did not push for free 24/7/365 streaming access. Someone came up with the idea of Zooming as a potential partial solution. Thank you to whoever came up with this idea, however . . .
The problem with this specific meeting is that there seems to be no official public notice, at least not on these City of Ely websites.
Most/all of us only see “1:30 pm Landfor” on our screens.
Here are the commissions, committees and boards in the City of Ely. Only 3 meetings are (re)broadcast. If you do not subscribe to Midco, you cannot watch. You have to live in Ely and pay for TV access and not just internet to watch these 3 meetings.
The link for details gives the email addresses for those invited to the meeting. The addresses are not posted here, because those individuals might not know the addresses are publicly posted.
Heather Cox Richardson does more than summarize today’s facts that she confirmed. She analyzes them, warns of rumors and misinformation, points out the historical roots of U.S. government’s actions and people behind recent events, and suggests actions we should take. I think this presentation should have a subtitle, “Now Is the Time to Choose,” which she talks about at the end of the 37 minute YouTube.
If you can/wish, please post and share on your usual social media platforms.
FYI: HCR’s YouTube does not show any video clips. Check your own trusted news sources for videos of the shooting. Compare coverage, videos, and spin used by other news outlets.
The New York Times had an excellent string of updates during Saturday, January 24th.
“Minneapolis Live Updates: Man Killed by Federal Agents Was Holding a Phone, Not a Gun.” Videos analyzed by The New York Times appear to contradict federal accounts of the shooting.
When you click the link to that article, look for the red words VIDEO ANALYSIS. You’ll see a photo of Alex Pretti just before the shooting as well as the video clip.
See https://www.ely.mn.us/council-meetings for complete 133-page Council packet For Tuesday, January 6, 2026, meeting. At the bottom of this post is the 3-page agenda posted last Friday. There may be additions and changes just before the Council meeting that may or may not be posted online before the meeting starts. Always check the table inside the Council Chamber doors. The Council meeting will start at 5:30 pm after the Public Hearing (3 day suspensions for selling hemp to underaged buyers) scheduled at 5:15 pm.
Only a few items have been selected here. Please scan through the (draft) minutes and other documents in the 133-page Council Packet. There’s a lot going on in Ely, both on stage (this broadcast meeting) and behind the curtains (minutes and documents) as well as way off stage (in the community).
3 Week Wait for Public to Get Details
The overwhelming majority of us residents, tax-paying citizens, and businesses owners have to wait three (3) weeks since the last Ely Council meeting to find out what officially happened. Read the draft minutes of the December 16th meeting on pages 5-13 in the Council packet. https://www.ely.mn.us/council-meetings Note there is only one entry on the January 6th agenda for both the December 16th Public Hearing and December 16th Council meeting. These are officially separate meetings and deserve separate entries on the agenda.
As we’ve stated before, all open-to-the-public City meetings should be streamed live free of charge 24/7/365 for all residents in Ely and surrounding areas. How else can we easily keep up-to-date on issues and community issues wherever we are and when it’s convenient for us? Technology surrounds us; let’s use it. Nothing can really substitute for viewing and listening with one’s own eyes and ears. We need to witness our community members in action.
For those interested in the lodging tax debate, read what Abby Dare and Paul presented (= what was entered in the minutes) on December 16th.
The Heritage Preservation Commission (HPC) presented updates on their projects and recommendations. Maybe the HPC and other commissions should make regular appearances before Council, so the public gets a more in-depth view and appreciation for all their work for the community.
from draft minutes of Dec 16th Ely Council meeting
from draft minutes of Dec 16th Ely Council meeting
$$ spent – priorities
Who has the time to go through all of the City’s expenditures? Are Council Members supposed to question whether or not biddable items were sent out for competitive bidding? Are Council Members supposed to comment and question why so much money is spent on private entertainment and luxury hotel developments vs. ESSENTIAL residential and community business needs? The excuse, “Nobody else except the rich and powerful ask for huge sums of money,” is weak. Is the City or Chamber of Commerce proactively seeking out and lobbying for city-wide improvement projects for smaller business owners, projects they need?
The City should require owners/landlords of neglected, vacant and blighted homes and buildings to clear their sidewalks. Why is the City providing them this service free of charge? Why are residents without sidewalks subsidizing owners of neglected, vacant and blighted homes and businesses? Especially when City taxes are going up?
Note: Thank you, City workers. Your work is appreciated. You do as directly. You don’t decide how $$ are spent. When we can talk to you about your work while you’re working, you’re professional and neighborly. You are not the problem.
Note: There are many wonderful, kind, neighborly and conscientious absentee and non-absentee landlords in Ely and elsewhere.
The referenced email was sent because the City’s small bobcat puts new snow and compacted ice on sidewalks already neatly cleared by residents during subzero temps. The few sidewalks not regularly cleared (if at all) on the block belong to owners/landlords who don’t care about civic responsibilities.
When sidewalks are carefully cleared by owners, landlords and renters, why does the City create extra work for them?
We already have to clear out our driveways and aprons after street plows clear the roads. Most of us understand that and appreciate the NECESSARY service. Why force us do clean up our sidewalks twice because other owners/landlords are allowed to neglect their civic responsibilities?
Harold Langowski said the City has been doing sidewalk removal for decades. Question: How is it that for decades the City is still allowing and paying for (taxpayers pay) owners/landlords to not clear their sidewalks? Something’s wrong in this picture.
These sidewalks and several adjoining neighbors’ were neatly cleared down to the cement, from yard to boulevard. Other sidewalks on the block were shoveled neatly even if compacted ice remained. These photos show new snow from right and left sides pulled onto and compacted down onto previously clean (cement showing) sidewalks.
The City should deal directly with and charge owners/landlords of vacant, neglected and blighted houses and business for sidewalk cleaning. Don’t create extra work for responsible owners/landlords. This is a small town, not an impersonal metropolitan city.
2026 Appointments – Council Members
These are 2025 appointments to various City Committees. Notice that 2 appointments are held by non-City Council Members (Kess and Callen). How many committees in 2026 will have non-Council Members representing or substituting for Council Members?
Actually voting will probably take place at the next Council meeting.
The committee responsible for having City meetings streamed free of charge 24/7/365 is Telecommunications. See below for which meetings are currently broadcast or not.
2026 resident and non-resident committee appointments
The list on the left was printed from the City webpage https://www.ely.mn.us/boards There are several problems when people want to print out this webpage, because it has 3 columns. Not all information shows up for printing. In this case, the details for submission of applications. The deadline is January 12th. Here is what was posted prior to the January 6th City Council meeting (printed same date as on the left).
Want to know more about the committees, boards, and commissions before applying? Go the the City website at https://www.ely.mn.us/boards and look at the middle column. Click on the committee (link) for details (1) Find out if the committee has specific goals or tasks spelled out. (2) Find out who the other members are, how long they served, when terms expire, and if they are residents or non-residents. Note: once appointed, most of if not all committee members are automatically “re-appointed” to serve several terms, maybe up to 9 years. (3) If meeting times are not listed on the committee’s individual wepage, go back to https://www.ely.mn.us/boards and look at the column on the right-hand side.
Want to learn more about what the committees actually do before applying? Go the the City’s Council website https://www.ely.mn.us/council-meetings for 2022-2026 packets to read the (draft) minutes submitted to Council by the individual committees. There is no single website for each committee. Both the Park & Record Board and Planning & Zoning Commission have separate websites, but there can be computer glitches when trying to access to some documents. Some of the (draft) minutes give you a feeling you were there and what members are commenting on. Most meetings are not streamed live or available 24/7/365, so you cannot see your appointed community leadership in action.
This post will spend most of the space addressing current lodging tax issues (the first 2 speakers). Scroll down for the 3rd request to speak (HPC). Then scroll further down to find information about 2025 and 2026 appointments.
Find the 103-page Council Packet at https://www.ely.mn.us/2025councilmeetings . Scroll down to the bottom for the 3-page agenda posted by the City of Ely. Last minute new additions and changes to the agenda might not be posted online prior to the start of the Council meeting at 5:30 pm on Tuesday, December 16, 2025. Check for documents on the table right inside the door to Council Chambers.
There are 3 Requests to Appear at the meeting. Two will address lodging tax dollars. One will address Heritage Preservation Commission (HPC) issues.
Abby Dare from VisitEly will talk about the Ely Area Tourism Bureau 2026 Budget.
Read #2 and #4 recommendations to be presented on Tuesday night. The document in the right column is from page 19 in the Council Packet. The logic stands on its own.
Look at the Stakeholders (last but not least blue box) under Strategic Planning Considerations.
Note: Both local newspapers have printed several articles and letters to the editor about the use of lodging tax dollars and how Paul Kess did not follow Council’s original instructions. For more background info about The Ely Tourism Bureau’s concerns voiced prior to tonight’s Council meeting, read the October 10th issue of The Timberjay, “Ely Tourism Bureau warns city over lodging tax distribution,” https://www.timberjay.com/stories/ely-tourism-bureau-warns-city-over-lodging-tax-distribution,23571.
Paul Kess will be addressing the Council as the Council-appointed member of the Ely Area Lodging Tax Joint Powers Board. No documents were submitted in the Council Packet.
Note: Both local newspapers have printed several articles and letters to the editor about the use of lodging tax dollars and how Paul Kess did not follow Council’s original instructions. For more background info about Council’s discussion at their last December 2nd meeting, read the December 6th issue of The Ely Echo, Kess survives tourism coup,” https://www.elyecho.com/article/3897,kess-survives-tourism-coup
Use of Lodging Tax Dollars – What’s All the Fuss?
Collection and designated/expected use of lodging tax dollars. What businesses are actually paying the lodging taxes, meaning costs added to the customer? Lodging. What were they told on how the lodging taxes would be spent? What is suddenly being funded? Why? When the Trailhead Building was first proposed and then under construction, were owners and managers of lodging businesses told their taxes would be used to fund the Trailhead Building (City utilities and Chamber of Commerce staffing)?
Who decides how those lodging tax dollars are spent? Those who pay it or those who spend it? Have we now entered into a taxation without representation situation? Politicians (Good OId Boys and Allies?) are deciding how they (the politicians and friends) want to spend others’ money without consulting or listening to them.
The only exception was/is newly elected Emily Roose. She had the courage to voice legitimate concerns of underrepresented business and community members. She had the guts and skill to introduce an “unpopular” motion to Council. She had the courage to stick to her truth despite Council’s 6-1 rejection of her motion. She received the most votes from Ely citizens back in November 2024 not just because she was a new fresh idealistic voice but also because she understands businesses, business owners and finances.
Haste makes waste. Council members claimed they didn’t understand what they were voting on when they decided not to drastically cut back funding for the Tourism Bureau. They were “confused.” So what’s new? Really, what’s new? Don’t use that as an excuse. Please. Council pretty much rubber stamps whatever is added to the agenda — especially last minute — without deep questioning or deep discussions. It’s political.
Why do lodging tax dollars have to be used to pay for the utilities at the Trailhead Building, a City-owned building? It’s political. The City, Good Old Boys and Allies, and real estate developers promoted, lobbied for and built an extremely expensive building as if we lived in Jackson Hole, Wyoming. We don’t live in Jackson Hole, WY. Most of us taxpayers and business owners in Ely try to get by. We live and spend moderately. City government should do the same. Wasteful spending followed by higher taxes. Wasteful spending on the Trailhead Building, and lodging taxes are being unfairly redirected to fund the City’s excesses. When the Trailhead was originally proposed and during construction, did the City of Ely and/or Council agree privately or publicly to use lodging tax dollars to pay for the utilities at the Trailhead? It’s political.
Why do lodging tax dollars have to be used to fund staffing of the Chamber of Commerce at the Trailhead Building? They don’t. It’s political. Were lodging tax dollars used to staff the Chamber of Commerce before they moved into the Trailhead Building? Are they getting increased funding? Or was this a trade-off to get the Chamber to move into the Trailhead months after the Trailhead sat vacant? An embarrassment indeed. A luxury building opened and sat totally vacant for months. When the Trailhead was originally proposed and during construction, did the City of Ely and/or Council agree privately or publicly to use lodging tax dollars to pay for staffing of the Chamber of Commerce at the City-owned building? It’s political.
Echo sensationalized & thus exposed the political agenda
The Ely Echo sensationalized and thus indirectly exposed the political behind-the-scenes activities of City Council and City Hall. Count all the subjective words used in the title and article,”Kess survives tourism coup.” The Ely is biased against efforts that don’t support their political goals. In their Ely Echo Editorial: Lodging tax funds must be flexible and accountable, the editor(s) stated, “We’re not sure why the focal point of the debate over lodging tax funds is playing out at city hall, but nonetheless, there needs to be oversight of these tax dollars as well as accountability.”
Ely City Hall is precisely the place where this debate should take place! City Council is supposed to represent Ely residents and businesses. We elected them to represent us. Paul Kess was not elected by the citizens. He was not elected by those who pay lodging taxes. We don’t want backroom decisions nor political deals made. We want open public discussion. Paul Kess admitted he voted differently than instructed by Council after he privately consulted with the mayor and an unnamed Council Member. That’s backroom politics. That’s what the Ely Echo wants, quiet backroom political negotiations?
When the Ely Echo editor’s wrote about oversight and accountability, they focused on collection of lodging taxes – not the issues raised raised by Emily Roose (not following Council’s instructions) nor the issues raised by the Tourism Bureau (funding).
Educate yourself – read – talk to those who pay lodging taxes
(d) Back issues of Ely’s Ely Echo and The Timberjay. If you don’t subscribe, go to your public library.
For more information about lodging taxes in Ely, review Section 6.33 of the Ely City Code at https://www.ely.mn.us/ordinances . The first page of Section 6.33 appears here in the column on the right.
There are some interesting loopholes in the definition of “Lodging.”
Luxury Jackson Hole development in Ely – costly mistakes
AI information from Goggle search using 3 words “Jackson Hole WY”
Is the City Vision to turn our Ely into an upscale playground for the rich?
The City and those who wanted to build and have IRRRB finance “upscale amenities” here in Ely envision turning Ely into a Jackson Hole resort town. Look at the luxury hotel being built in the Old Community Center. The developer didn’t have financing, so the City stepped in with lobbying efforts, etc.
If you haven’t checked out the Trailhead Building, go now. Why couldn’t we have built something similar to simple park buildings?
Putting the Chamber into the Trailhead sends a message that the building isn’t really for us regular residents. The furniture and building layout do not give vibes that this is Ely’s building. It does not look or feel like us. It looks like it belongs in Jackson Hole, Wyoming or a ski resort in the Swiss Alps.
Why and for whom did we build this luxury Trailhead building?
The 2-story (one story with high roof) building and furniture speak of luxury, not regular active or rugged use. It should have a simple comfortable style that matches what we see in our current hotels, motels, family resorts, restaurants, and business. The Trailhead appeals to the wealthy, not regular everyday Ely residents and tourists. First thing most of us do when we walk inside is remark how expensive the heating costs are for the tall one-story building.
If you paid attention to all the commission meetings — How could you? They are not broadcast or streamed free of charge 24/7/365 — you would have learned that no organizations wanted to move into the Trailhead. They were happy where they were located and didn’t want to pay $$$ more to be in the Trailhead Building.
Since there were no commitments to occupy or use the Trailhead, the designers and contractors couldn’t design or build based on user needs.
“Build and they will come,” we are told. And our response is, “We are here. Build for those who currently live here.”
Look at the layout of the Trailhead rooms for organizations (?) and public. Is this the layout that we need? Remodeling costs money.
The City of Ely wastes money, especially but not limited to due diligence.
Citizens for transparency has frequently brought up awarding of contracts via “single source” or no bidding. It’s politics as usual and/or just plain laziness.
The City has its favorite contractors, friends, allies and long-term business relationships. The City just likes to award contracts without bidding. Listen to comments about award of contract for crack sealing of City streets: https://elyminnesota.com/blog/city-council-sep-3-2024-mtg/ Unfortunately, it’s not about saving and spending taxpayer money wisely.
Citizens for Transparency pointed out due diligence wasn’t followed on some services and work on the Trailhead Building. Watch Paul Kess speak out for due diligence: https://elyminnesota.com/blog/city-council-dec-17-2024/
The City of Ely can easily find ways to cut wasteful expenses including but not limited to following due diligence guidelines.
The City should not redirect lodging tax $$ to pay for its City-owned building.
3rd Request to Appear = HPC
The Co-Chairs of the Heritage Preservation Commission (HPC), Margaret Egan and Pam Turnbull, will give an HPC Project Update.
Pages 23-31 in the Council Packet are dedicated to HPC minutes and documents related to their 3 recommendations for Council to vote on. See recommendations in the right-hand column. See photos below of Trailhead Building and the Carl Gawboy mural.
Trailhead Bldg – photo from HPC in Dec 16th Council Packet
Carl Gawpoy mural – image from HPC in Dec 16th Council Packet
Appointments to Open Commission Seats
The ongoing mystery is how Council is going to vote on appointments when more than one person applies. There is no real established procedure. Will they draw names out of a hat? Will they only vote for those they know? Will they find one sentence they really connected with?
There are no interviews. Applications are supposedly the only way to persuade Council. Completed apps are in the Council Packet: https://www.ely.mn.us/2025councilmeetings
There will be additional commission, board or committee seats opening up in 2026. Look for the new application form; don’t just recycle an old one.
Finally, a new Comprehensive Plan Steering Committee is being created. The revised application questions are “interesting.”
Upcoming 2026 Open Commission Seats
Comp Plan Steering Committe – Revised Application Forms
The application forms proposed by have been updated. Compare the new ones (3 pages below from Council Packet) with those from the last December 2nd Council meeting. See previous comments posted Who’s to represent us on the Comp Plan Steering Committee? https://elyminnesota.com/blog/noise-lodging-tax-demographics/ (look for yellow highlights).
Do all applicants have the same concept or definition of “unique perspectives” when they answer “What unique perspectives do you bring to the Committee?” That needs to be clarified, so they all have a fair chance in answering the question. And clarify means you indicate upfront what you (P&Z Admin, P&Z Rep, and Council Rep) are looking for. Among other things, are you really looking for “unique perspectives”? Does “unique perspectives” relate back to the demographic targets?
The rank scoring system is still confusing. If you answered all questions, whether misguided or not, you get 6 points? Aren’t there more than 6 questions? Why is “Understanding of the Comprehensive Plan” weighed so low? Ignorance is bliss? (attributed to Thomas Gray). What do 2 or 4 points actually mean on a range 0-5 or 0-6?
There are some target demographics to fill. If these demographics are targets to fill, then what is the point system or means to objectively fill that target? There’s no clear, logical and transparent explanation as to how how the P&Z Admin, P&Z Rep, and Council Rep will fill these demographics. None of these 3 other seats (P&Z Admin, P&Z Rep, and Council Rep) need to meet or balance the group’s target demographics of low income, age or gender diversity? Are the at large members supposed to just outwardly represent or actually voice the full range of perspectives (issues, values, hopes, dreams, financial situation, etc.) of the demographic targets.
Many application questions and targets bring concerns about awkwardness, appropriateness and legalities: There are people who do not want to publicly identify themselves as low income. Do they lie, tell the truth, come up with their own definition of low income, or just not apply? Should low income really be public knowledge? What do “Diverse age range” and “Diverse gender make up” mean? I don’t see any questions about age or gender on the application form. Or points. Are P&Z Admin, P&Z Rep, and Council Rep supposed to guess (= assume)?
Finally, what does “Ability to resolve conflict” mean? One of the best ways to approach conflict when discussing the Comprehensive Plan is to refer back to the Ely’s City Vision (which unfortunately does not really encompass all of us, seniors being a major example). Another way to approach conflict is for the City and the pre-selected leadership of the Comp Plan Steering Committee make their agenda, philosophy, and development goals very transparent and upfront from the beginning. For example, if the intent is to scrape all the living flesh off of the Comp Plan and only leave the skeleton, say that. If the intent is to add living flesh to the bones, say that. Is the goal to build buildings or to take care of the people living here? Is the goal to encourage sustainability and balance with our environment or exploit everything? (Extreme examples, yes.)
If the intent is to have like-think, compliant, and obsequious members, say that. If City Hall, Council and the leadership of the Comp Plan Steering Committee want members to feel comfortable voicing “unique perspectives,” then THEY are the ones who need to know how to manage conflict of perspectives AND incorporate those “unique perspectives” into the Comp Plan. Leadership should have conflict resolution skills, attend workshops if they don’t, use them, model them, and do not pass all the burden/responsibility on the shoulders of nonleadership. For example, requiring commissioners, appointees, and staff to have conflict resolution skills and training while not requiring the same of leadership (chairs, Mayor, Council, and City Administration). Bullying is still not banned.
City Council 14/04/26 – Drafts – $$ – 4 day sch wk
To see full agenda and Council 108-page packet posted on City website, go to https://www.ely.mn.us/council-meetings . If you want to comment on something before Council discusses or votes, it is too late. You can still request to appear during Open Forum at the end of the meeting. Check the Council Meetings website just before 5:30 pm on Tuesday for changes or additions. Not all last minute changes and additions are posted online in time for public or Council review. Check the table inside the Council Chambers for printed copies.
The public can email or call ALL of the Council Members and Mayor individually to voice their concerns and suggestions. Contact info is available via the City website https://www.ely.mn.us/council. Unfortunately, printing a one-page list of contact info from this Council + Mayor is not possible for many, most or all of us (?). Also, for some reason, the list is not alphabetical.
In this post, we will focus on 3 things: (1) Drafts of minutes and last week’s April 15th P&Z meeting, (2) Huge City Hall spending and funding requests for financially well connected businesses, and (3) the $$ impact on Ely after our School Board’s vote to go to a 4-day school week. Look for colors.
Glance through the entire 108-page Council packet posted online and then the last-minute changes and additions just before City Council meets at 5:30 pm in Tuesday, April 21st. The minutes and documents contain interesting tidbits. https://www.ely.mn.us/council-meetings
Meeting Drafts and Minutes
The Council packet posted a few days ago does NOT include draft/unapproved minutes of the last City Council meeting on April 7, 2026. This makes it hard for the public, Council, Mayor, City staff and speakers to review what happened 2 weeks ago should there be corrections. Not having the draft/unapproved minutes, means most of the public won’t know what actually happened on April 7th prior to the start of the April 21st Council meeting. The official Ely city newspaper, The Ely Echo, does not publish Council minutes until they are approved. Not everyone can afford or wants to pay Midco cable franchise fees to watch City Council meetings that are accessible 24/7/365.
Why aren’t the draft/unapproved minutes from the April 7th Council Meeting available in the packet? They are called “draft” or “unapproved” for good reasons. What is different this time?
Not all City commissions, boards, committees or authorities review and approve their minutes before submitting to Council and becoming public record. Not all type “draft” or “unapproved” at the top of their submissions. Check Tuesday’s packet and previous packets for minutes from the various committees. Supposedly, any revisions of minutes after approval are re-resubmitted with corrections. Has anyone ever seen that happen, seen the revisions posted?
There was an embarrassing (to some anyway) vote by Council on a recommendation from a commission that was not really recommended by that commission. If you view the recordings and documents posted on this website, it’s entertaining to see how nobody would directly admit any mistakes were done.
We all know it is too expensive for the City to pay for professionals to transcribe meetings or type up minutes from a recording. Volunteers are understandably welcome to be secretaries for the commissions they serve on. Typing detailed minutes is time consuming and difficult. Often the recorder doesn’t understand the other’s paradigm or philosophy or belief system, especially when they are not mutually shared. There are times, especially on controversial topics, that those writing minutes need to have a special sense of the English language to catch people’s use of nuances, subtleties and disclaimers. Another problem is Ely City Hall wants commission meeting minutes to be simple and short – few details – for a variety of reasons. There are problems with simple and short minutes. There’s a range between too much and too little. Commissions NEED TO review, discuss and correct as necessary their minutes BEFORE submitting to City Council and BEFORE becoming public documents.
Minutes filter info – Public needs 24/7/365 access to recordings
The public needs to understand and witness what happens in all City meetings. So does the Council, the Mayor, and City Hall. Here’s an example in Tuesday’s Council packet. Planning & Zoning submitted unapproved minutes from its April 15th meeting.
Compare what the speaker actually said with the minutes
Important points about what is done or not done in various committee meetings is missing. How can the City of Ely, Planning & Zoning, Park & Recreation, Land Use and Comprehensive Plan Steering Committee, etc. revisit, revise or improve if NOBODY says what’s wrong, what’s INTENTIONALLY excluded? Minutes should pass on useful comments, not filter them out. Some disclaimers and qualifiers are missing from the minutes. The speaker was given a generous 3 minutes. Not all last-minute speakers have hours to prepare crafted and typed out speeches to address ongoing systemic disregard of natural habitats and indigenous land acknowledgments as well as question some of the (missing) details in a shoreline excavation permit. Watch the unfiltered YouTube video and comments about P&Z posted on our website https://elyminnesota.com/blog/youtube-4-15-26-pz-private-beach-club-permit/ and compare with what was reported.
Left-side column above are “minutes” of speaker and P&Z discussion that can be compared with 16:08 – 22:11 time markers on the YouTube recording.
Among other things, notice the P&Z minutes do NOT include the words indigenous, Native American, or First Americans. P&Z and recorder apparently didn’t hear the speaker use these words, didn’t listen. They didn’t repeat any of those words in their discussion. If you can NOT hear, you can NOT claim you listened. Think about how Trump had “Climate Change” and other words deleted from government websites, etc.
The speaker gave more details about how natural spaces and indigenous history, culture and presence have been ignored by Ely. Not mentioned: Neither the Ely Chamber of Commerce nor The Tourism Bureau provide specific info or map about birding places in Ely. Listen to more specific comments about commissions and Comp Plan not recognizing nature, natural habitats for balanced development.
Right-side column above are “minutes” of P&Z discussion that can be compared with 45:45 – 1:26:00 time markers on the YouTube recording.
See Tefft’s 10 favorite birding sites at https://elyfieldnaturalists.wordpress.com/wp-content/uploads/2013/05/ely-birding-brochure-6-25-15.pdf
Upcoming $$ impact on Ely with 4-day school week
Both Local papers The Ely Echo www.elyecho.com/ and The Timberjay www.timberjay.com cover the ongoing financial problems of our ISD #696 Ely Public School District.
ISD #696 posts agendas and minutes online at https://meetings.boardbook.org/Public/Organization/1352. On Monday, April 13th, ISD #696 voted unanimously to move to a 4-school week starting this coming fall. You’ll notice as of April 20th, the minutes for their April 13th meeting have not been posted, just the agenda. Many people are upset about that decision.
Ely businesses, organizations and social services are now scrambling to help students and families
The Library minutes (draft?) from their April 8th meeting gives an insight into how much the whole community needs to step up, examine options, and do something to help the kids, their parents, and parents. 500 students. Imagine the scramble. What will parents do? Send their kids to other private or charter schools? Home school?
Concerned and caring Library staff and the Ely Community Resource Center (ECR) want to step up. They do not have extra staffing, space or money. Same with other social service organizations and businesses.
There is no recommendation/motion posted on the current Council April 21st agenda for the City to help out with finances for staffing, space or educational materials. Chances are Council would vote no anyway. Somehow there has to be a way to indirectly support families and kids. Council won’t ask the ISD #696 to take back their vote and thus keep a 5-day school week? Why not?
There are restrictions to the mixing of City budgets and School District budgets. There are things they can do, things they can’t. Council needs to do some brainstorming Tuesday night. Residents, parents and teachers need to send GOOD DOABLE suggestions to all of City Council, not just to their favorites. Check out www.ely.mn.us/council for Ely City Council contact info. Call or send a mass email.
ISD #696 School Board Information
If you are looking for information about running for the next School Board elections, this is the weblink: https://www.ely.k12.mn.us/school-board-election-information. The webpage needs to be updated. Three current Board Members are up for re-election. See column of the left.
Council will vote to spend 1/3 million $$ on City Hall windows
Except for a few rich and/or well invested individuals, everyone is worried about the direction of our economy. Most people are re-examining their expenses and plans. Most people are reviewing what is essential and what is non-essential. What about City Hall and City Council?
On April 21st, hopefully the tax-paying public and those facing higher costs, higher fees, fewer benefits, and more expenses will hear and be satisfied with explanations for 1/3 million $$ proposed cost for windows in City Hall. How many? Why do they need to be replaced now? Do all of them in RFP need to be replaced now? Notice the memo from the Ely Clerk/Treasurer doesn’t give details about the urgency to replace x number of windows.
For such an expensive project, why would only 2 companies submit bids? Was the RFP (Request for Proposal) written and posted in such a way, so that only a few companies would submit bids? Notice the memo from the Ely Clerk/Treasurer doesn’t give details about due diligence, i.e., why only 2 and not more bids were received.
In the memo from the Ely Clerk/Treasurer, there is no background information which committees or when Council (recently?) recommended this expensive project. These windows apparently were not in bad shape back in 2014.
City voting to lobby for funding business with $$ connections
As people throughout the region are discussing federal and state cut-backs and insufficient funding for essential services, including but not limited to public schools, they are questioning what expenditures are essential or nonessential. Funding for infrastructure will be reduced.
Why is the City of Ely lobbying for IRRB funds to be used for the Old Train Depot development project? Why is the City of Ely lobbying for businesses that have good credit and (in)direct access to financing? They are “spin-offs” or closely connected with rich real estate investors and/or developers, including those who own other developed and non-developed or neglected properties and buildings in Ely. Setting up LLC’s are safe protections for them. This website has questioned the Old Train Depot development while Chapman and Sheridan are neglected.
Why isn’t the City focused on helping established small businesses and apartment owners in the City who have leaking roofs and other construction issues? Some are located next to vacant, neglected and possibly unsafe structures. The street-facing fronts don’t look the same as the alley-facing backs.
Below is the Projects Committee webpage which is accessible via https://www.ely.mn.us/boards Projects recommended the City of Ely lobby for funding for the OldTrain Depot/Bearhead Development. The Committee shall make recommendations to the Council of all matters dealing with community projects… Wouldn’t a massive revitalization/renovation of established current SMALL businesses be a “community project”?
There are homes in town frequently flooded by runoff from other homes or streets or underground streams. Their homes were deemed safe to occupy when they bought them. Now they have to come up with their own money to pay for (resolving) problems that originate off their property. Wouldn’t these be essential “community projects”? Why aren’t these types of projects on the Projects agenda and list of priorities? Aren’t Project Committee members aware of these problems in the community?
Are only large projects promoted and sponsored by lobbists, rich real estate investors and developers the only ones that are considered community-based? Projects is to serve as a forum for others to express their views on subjects relating to community projects . . . When was the last time Projects pro-actively announced an open forum for all small business and apartment owners to help create a community-wide revitalization/renovation project?? It is easier for Projects to passively sit and have rich developers and real estate investors come to them for funding they could secure on their own. Who decided the Trailhead Building was something the Ely community REALLY needed? Or the luxury hotel? Or the cannabis dispensary?
The economy is not on an upswing. Regular people are suffering. The City of Ely should refocus its energies, tax-payer dollars, funding sources, and community projects to serve the essential needs of its real community.